Raiz Quadrada com 4 Operadores

Raiz Quadrada e a raiz enéssima de qualquer número pode ser calculada somente com as 4 operações aritmética básicas.
Raiz Quadrada:
Raiz Quadrada "Chute" deve ser fornecido como um valor inicial para a primeira iteração. A partir da segunda iteração usa-se o valor achado para a raiz na primeira iteraão. Repete-se o processo por 3 iterações, ou mais, dependendo da precisão desejada e do valo inicial do "Chute".
Esta fórmula é chamada de fórmula de "Newton-Raphson".

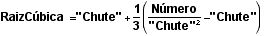
Raiz Cúbica:
Raiz Cœbica

Raiz Quarta
Raiz Quarta

Raiz Quinta
Raiz Quinta